Din cuprinsul articolului
Tot mai mulți români se întreabă ce sumă vor primi la pensie și dacă aceasta va fi suficientă pentru a-și menține nivelul de trai din perioada activă. Valoarea pensiei depinde direct de salariul net actual și de numărul de ani lucrați cu contract de muncă, iar diferențele pot fi considerabile.
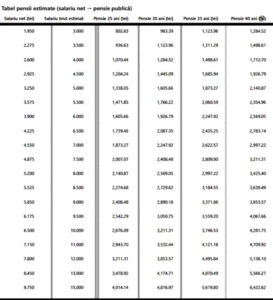
Un calcul realizat pe baza veniturilor și a vechimii în muncă oferă o imagine clară asupra pensiei estimative la retragerea din activitate. Conform unei analize publicate de gandul.ro, cifrele arată o discrepanță majoră între veniturile din prezent și pensia publică de care ar putea beneficia un salariat la finalul carierei.
Cum se modifică pensia în funcție de vechimea în muncă

Rezultatele studiului arată că suma primită la pensie crește proporțional cu numărul de ani de contribuții, însă chiar și așa, nivelul rămâne modest raportat la salariul actual.
De exemplu, o persoană care câștigă în prezent un salariu net de 1.950 de lei ar urma să primească:
-
după 25 de ani de muncă, aproximativ 803 lei;
-
după 30 de ani, în jur de 963 de lei;
-
după 35 de ani, aproximativ 1.124 de lei;
-
după 40 de ani de activitate, circa 1.285 de lei.
Pentru salariile mari, diferențele devin și mai evidente. În cazul unui venit net lunar de 9.750 de lei, pensia estimată este de:
-
4.014 lei după 25 de ani;
-
4.817 lei după 30 de ani;
-
5.620 de lei după 35 de ani;
-
6.422 de lei după 40 de ani de contribuții.
Pensia publică, departe de veniturile din perioada activă
Analiza evidențiază o realitate îngrijorătoare: pensia publică reprezintă adesea mai puțin de jumătate din venitul actual. Chiar și pentru salariații cu venituri medii sau ridicate, diferența este semnificativă.
Această situație ridică întrebări serioase despre sustenabilitatea sistemului public de pensii și despre nevoia tot mai mare de economisire privată sau de investiții suplimentare. Pentru mulți români, pensia de stat nu va fi suficientă pentru a le asigura un trai decent după retragerea din activitate.
Vechimea în muncă – un factor decisiv pentru valoarea pensiei
Numărul total de ani lucrați joacă un rol crucial în stabilirea pensiei finale. Diferența dintre o carieră de 25 de ani și una de 40 de ani poate duce chiar la dublarea sumei primite lunar.
De aceea, specialiștii recomandă angajaților să urmărească permanent stagiul de cotizare și să evite perioadele fără contribuții la sistemul public. Orice întrerupere poate afecta semnificativ pensia finală.
De ce este importantă planificarea financiară pentru pensie
Pentru a-și menține standardul de viață după pensionare, tot mai mulți români aleg să investească în pilonul II și III de pensii private, să economisească lunar sau să caute surse suplimentare de venit.
Planificarea din timp a pensiei poate face diferența între o bătrânețe confortabilă și una marcată de lipsuri. Într-un context economic imprevizibil, o strategie financiară bine gândită devine esențială pentru siguranța viitorului.



